Kỳ thi THPT Quốc gia năm 2016 đang đến rất gần, Tuyensinh247.com gửi đến các thí sinh toàn bộ các công thức toán học lớp 12 giúp các em có thể giải quyết các bài toán từ cơ bản đến khó và đạt kết quả cao trong kỳ thi sắp tới.
PHẦN I: ĐẠI SỐ
1. Tam thức bậc 2
2. Bất đẳng thức Cauchy
3. Cấp số cộng
4. Cấp số nhân
5. Phương trình, bất phương trình chứa giá trị tuyệt đối
6. Phương trình, bất phương trình chứa căn
7. Phương trình, bất phương trình logarit
8. Phương trình, bất phương trình mũ
9. Lũy thừa
10. Logarit




Phần II. LƯỢNG GIÁC
Bao gồm 3 chuyên đề lớn
1. Công thức lượng giác
2. Phương trình lượng giác
3. Hệ thức lượng trong tam giác





Phần III. ĐẠO HÀM – TÍCH PHÂN – HÌNH HỌC – NHỊ THỨC NEWTON
1. Đạo hàm
2. Bảng các nguyên hàm
3. Diện tích hình phẳng – Thể tích vật thể tròn xoay
4. Phương pháp tọa độ trong mặt phẳng
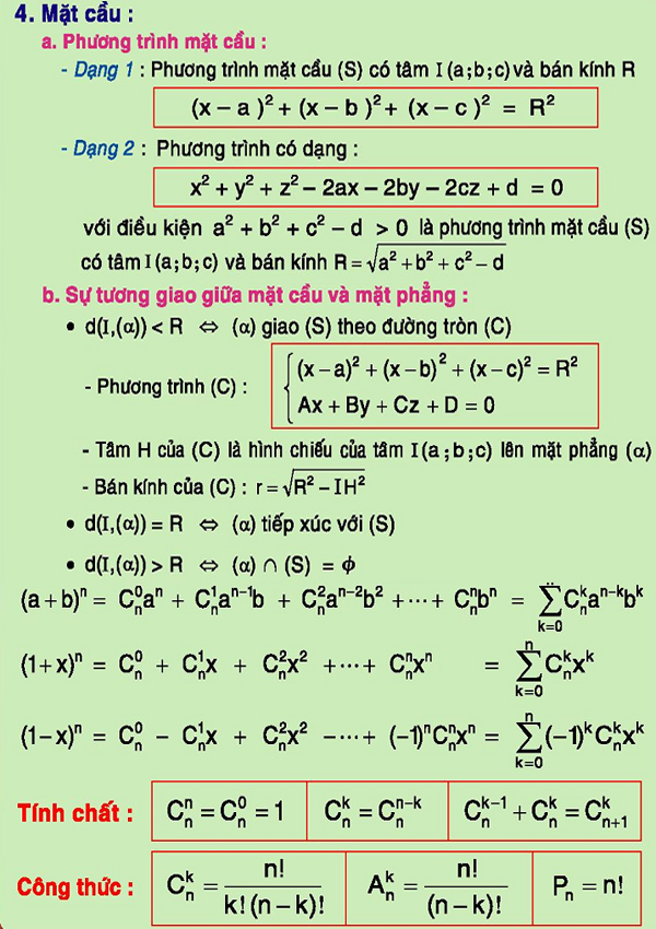
5. Phương pháp tọa độ trong không gian
6. Nhị thức Newton








Chúc các em học tập tốt!